Vault 7 (Wikileaks)
Vault 7 (Wikileaks)
Vault 7 is a series of documents released by WikiLeaks on March 7, 2017. It is the largest leak of CIA documents in history and revolves around their cyber warfare capabilities
WikiLeaks Release
CIA Operations
Discussing the CIA's Remote Devices Branch's UMBRAGE group, Wikileaks' source notes that it "collects and maintains a substantial library of attack techniques 'stolen' from malware produced in other states including the Russian Federation.
Samsung TV Hack
Kim Dotcom chimed in on Twitter, "CIA turns Smart TVs, iPhones, gaming consoles and many other consumer gadgets into open microphones" and added " CIA turned every Microsoft Windows PC in the world into spyware.
Can activate backdoors on demand, including via Windows update"[12]
Weeping Angel was a program to the CIA developed with MI6, involving a way to turn Samsung SMART TVs into listening devices and operate even when the TV appears to be off.
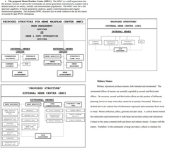
Meme War Center
CIA proposed to build a Meme Warfare Center. [2]
CIA could hack into encrypted apps such as Signal, WhatsApp, and Telegram.
Location






